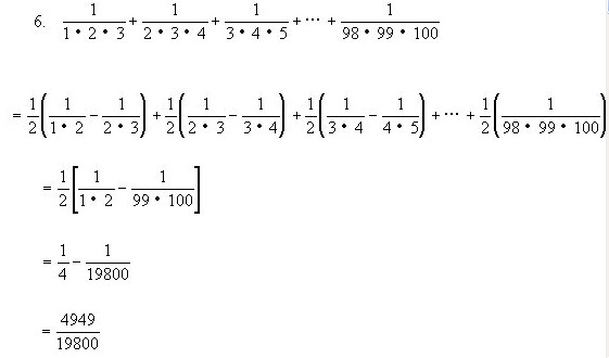
五年級奧數下冊:第七講 不定方程1/n = 1/x + 1/y的整數解 習題解答










奧數 > 小學資源庫 > 奧數練習題 > 五年級奧數 > 不定方程整數解 > 正文
2009-07-28 14:59:11 下載試卷
五年級奧數下冊:第七講 不定方程1/n = 1/x + 1/y的整數解 習題解答










| 星期日 | 星期一 | 星期二 | 星期三 | 星期四 | 星期五 | 星期六 |
|---|---|---|---|---|---|---|
| 27 | 28 | 29 | 30 | 1 行程問題 |
2 邏輯推理 |
3 邏輯推理 |
| 4 邏輯推理 |
5 邏輯推理 |
6 抽屜原理 |
7 抽屜原理 |
8 抽屜原理 |
9 抽屜原理 |
10 抽屜原理 |
| 11 表面積 |
12 表面積 |
13 表面積 |
14 奇偶問題 |
15 工程問題 |
16 工程問題 |
17 工程問題 |
| 18 工程問題 |
19 工程問題 |
20 工程問題 |
21 應用題 |
22 應用題 |
23 應用題 |
24 約數倍數 |
| 25 約數倍數 |
26 約數倍數 |
27 約數倍數 |
28 約數倍數 |
29 應用題 |
30 植樹問題 |
31 植樹問題 |
| 星期日 | 星期一 | 星期二 | 星期三 | 星期四 | 星期五 | 星期六 |
|---|---|---|---|---|---|---|
| 1 假設法 |
2 圓與扇形 |
3 應用題 |
4 行程問題 |
5 工程問題 |
6 歸一問題 |
7 應用題 |
| 8 行程問題 |
9 方程解應用題 |
10 電梯行程 |
11 方程解應用題 |
12 計算 |
13 面積計算 |
14 奇偶問題 |
| 15 時間問題 |
16 數論 |
17 表面積 |
18 面積計算 |
19 假設法 |
20 火車過橋 |
21 年齡問題 |
| 22 利潤問題 |
23 相遇問題 |
24 流水行船 |
25 表面積 |
26 最短路線 |
27 應用題 |
28 燕尾定理 |
| 29 年齡問題 |
30 工程問題 |
31 工程問題 |
1 | 2 | 3 | 4 |
| 星期日 | 星期一 | 星期二 | 星期三 | 星期四 | 星期五 | 星期六 |
|---|---|---|---|---|---|---|
| 29 | 30 | 31 | 1 比例問題 |
2 獵狗追兔 |
3 行程問題 |
4 工程問題 |
| 5 應用題 |
6 行程問題 |
7 應用題 |
8 周期問題 |
9 周期問題 |
10 相遇問題 |
11 相遇問題 |
| 12 還原問題 |
13 還原問題 |
14 工程問題 |
15 工程問題 |
16 行程問題 |
17 行程問題 |
18 平均數 |
| 19 計算 |
20 數論 |
21 應用題 |
22 應用題 |
23 應用題 |
24 應用題 |
25 加法原理 |
| 26 年齡問題 |
27 應用題 |
28 濃度問題 |
1 | 2 | 3 | 4 |
| 星期日 | 星期一 | 星期二 | 星期三 | 星期四 | 星期五 | 星期六 |
|---|---|---|---|---|---|---|
| 26 | 27 | 28 | 1 趣味題 |
2 趣味題 |
3 趣味題 |
4 趣味題 |
| 5 趣味題 |
6 趣味題 |
7 趣味題 |
8 應用題 |
9 應用題 |
10 應用題 |
11 應用題 |
| 12 應用題 |
13 應用題 |
14 應用題 |
15 相遇問題 |
16 相遇問題 |
17 相遇問題 |
18 相遇問題 |
| 19 相遇問題 |
20 相遇問題 |
21 相遇問題 |
22 行程問題 |
23 行程問題 |
24 行程問題 |
25 行程問題 |
| 26 行程問題 |
27 行程問題 |
28 行程問題 |
29 雞兔同籠 |
30 雞兔同籠 |
31 雞兔同籠 |
1 |
| 星期日 | 星期一 | 星期二 | 星期三 | 星期四 | 星期五 | 星期六 |
|---|---|---|---|---|---|---|
| 26 | 27 | 28 | 29 | 30 | 31 | 1 幾何 |
| 2 幾何 |
3 工程問題 |
4 應用題 |
5 應用題 |
6 行程問題 |
7 行程問題 |
8 計數問題 |
| 9 計數問題 |
10 計數問題 |
11 幾何 |
12 幾何 |
13 幾何 |
14 幾何 |
15 幾何 |
| 16 計算 |
17 數字謎 |
18 數字謎 |
19 邏輯推理 |
20 余數問題 |
21 數論 |
22 幾何 |
| 23 幾何 |
24 不定方程 |
25 遞推法 |
26 圓與扇形 |
27 數論 |
28 牛吃草 |
29 圖形拆分 |
| 30 同余問題 |
1 | 2 | 3 | 4 | 5 | 6 |
| 星期日 | 星期一 | 星期二 | 星期三 | 星期四 | 星期五 | 星期六 |
|---|---|---|---|---|---|---|
| 30 | 1 應用題 |
2 應用題 |
3 應用題 |
4 應用題 |
5 應用題 |
6 應用題 |
| 7 應用題 |
8 付錢的方法 |
9 付錢的方法 |
10 付錢的方法 |
11 付錢的方法 |
12 付錢的方法 |
13 付錢的方法 |
| 14 摸彩球 |
15 摸彩球 |
16 摸彩球 |
17 摸彩球 |
18 摸彩球 |
19 巧算速算 |
20 巧算速算 |
| 21 巧算速算 |
22 天平平衡 |
23 合理分組 |
24 合理分組 |
25 合理分組 |
26 合理分組 |
27 合理分組 |
| 28 找規律 |
29 找規律 |
30 找規律 |
31 找規律 |
1 | 2 | 3 |
| 星期日 | 星期一 | 星期二 | 星期三 | 星期四 | 星期五 | 星期六 |
|---|---|---|---|---|---|---|
| 28 | 29 | 30 | 31 | 1 行程問題 |
2 行程問題 |
3 流水行船 |
| 4 相遇問題 |
5 走走停停 |
6 數字迷 |
7 抽屜原理 |
8 計數問題 |
9 計數問題 |
10 繁分數計算 |
| 11 比例問題 |
12 計算 |
13 約數問題 |
14 行程問題 |
15 簡單計數 |
16 推理 |
17 行程問題 |
| 18 邏輯推理 |
19 面積問題 |
20 計算 |
21 計算 |
22 面積問題 |
23 面積問題 |
24 行程問題 |
| 25 鐘面行程 |
26 余數問題 |
27 余數問題 |
28 約數與倍數 |
29 約數與倍數 |
30 包含與排除 |
1 |
| 星期日 | 星期一 | 星期二 | 星期三 | 星期四 | 星期五 | 星期六 |
|---|---|---|---|---|---|---|
| 25 | 26 | 27 | 28 | 29 | 30 | 1 計算 |
| 2 計算 |
3 計算 |
4 計算 |
5 計算 |
6 計算 |
7 計算 |
8 數的整除 |
| 9 數的整除 |
10 數的整除 |
11 數的整除 |
12 數的整除 |
13 數的整除 |
14 帶余除法 |
15 奇偶性 |
| 16 奇偶性 |
17 奇偶性 |
18 奇偶性 |
19 奇偶性 |
20 行程問題 |
21 行程問題 |
22 行程問題 |
| 23 行程問題 |
24 行程問題 |
25 行程問題 |
26 行程問題 |
27 行程問題 |
28 牛吃草問題 |
29 牛吃草問題 |
| 30 牛吃草問題 |
31 牛吃草問題 |
1 | 2 | 3 | 4 | 5 |
| 星期日 | 星期一 | 星期二 | 星期三 | 星期四 | 星期五 | 星期六 |
|---|---|---|---|---|---|---|
| 30 | 31 | 1 應用題 |
2 邏輯思維 |
3 排隊問題 |
4 年齡問題 |
5 火柴棒問題 |
| 6 邏輯問題 |
7 邏輯問題 |
8 應用題 |
9 邏輯問題 |
10 填算符 |
11 應用題 |
12 年齡問題 |
| 13 應用題 |
14 應用題 |
15 應用題 |
16 應用題 |
17 應用題 |
18 應用題 |
19 應用題 |
| 20 火柴棒問題 |
21 報數 |
22 數字游戲 |
23 填符號 |
24 想一想 |
25 想一想 |
26 應用題 |
| 27 速算 |
28 速算 |
29 速算 |
30 數一數 |
31 應用題 |
1 | 2 |
| 星期日 | 星期一 | 星期二 | 星期三 | 星期四 | 星期五 | 星期六 |
|---|---|---|---|---|---|---|
| 27 | 28 | 29 | 30 | 31 | 1 相遇問題 |
2 相遇問題 |
| 3 相遇問題 |
4 相遇問題 |
5 相遇問題 |
6 相遇問題 |
7 相遇問題 |
8 牛吃草 |
9 牛吃草 |
| 10 牛吃草 |
11 牛吃草 |
12 牛吃草 |
13 牛吃草 |
14 牛吃草 |
15 趣味題 |
16 趣味題 |
| 17 趣味題 |
18 趣味題 |
19 趣味題 |
20 行程問題 |
21 行程問題 |
22 行程問題 |
23 行程問題 |
| 24 行程問題 |
25 行程問題 |
26 行程問題 |
27 年齡問題 |
28 年齡問題 |
29 年齡問題 |
30 應用題 |

歡迎掃描二維碼
關注奧數網微信
ID:aoshu_2003

歡迎掃描二維碼
關注中考網微信
ID:zhongkao_com